いろいろ 湿度 公式 338764-湿度 公式
湿度の計算公式を変形させりゃいいね。 湿度の公式は 湿度 % = (1m³の空気に含まれる水蒸気の質量)÷(その空気の温度の飽和水蒸気量)× 100 だったから、これを「1m³の空気に含まれる水蒸気の質量」について等式変形してやると、 公式 HR=Pa/Ps x 100% 4百分率湿度(percentage humidity)Hp 在某一温度下,空气之湿度与饱和湿度之比,称为该空气在此温度下之百分率湿度 公式 HP=H/Hs x 100% 5湿气比热(humidity heat)Cs 使单位质量乾燥空气及其所含之水蒸气,温度升高一度所需之热量,称为 公式基本来源于 ASHRAE 17 Fundamentals Handbook ,手册里有详细的公式推导过程 1含湿量 W 为 含湿量(每公斤干空气中水的质量), 湿空气性质计算,随笔与学习记录(2水蒸气分压,含湿量,相对湿度) solokey 博客园
外设驱动库开发笔记9 Sht1x系列温湿度传感器驱动 码农家园
湿度 公式
湿度 公式-绝对湿度 每立方米湿空气中所含水蒸气的质量,即水蒸气密度,单位为Kg/m³ 相对湿度 相对湿度,指空气中水汽压与相同温度下饱和水汽压的百分比。 12 Tetens 公式 13 修正的Tetens 公式 t 为摄氏度,在35℃ 30℃范围内,该公式与Tentens公式的误差小于03%。 2、水汽压 3、饱和差 e d (hPa) 3、相对湿度 相对湿度(f)是空气中的实际水汽压与同温度下的饱和水汽压的比值(用百分数表示) 三、湿度



关于空气的绝对湿度 下面的公式是否正确 关于绝对湿度的计算公式 个人觉得不等于一定温度和水蒸气分压下水蒸气的密度的 应该通过体积百分数来求得 海川化工论坛
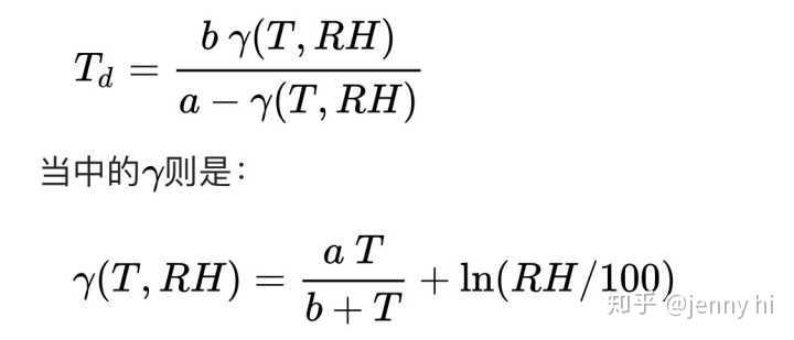
绝对湿度:每立方米湿空气中所含水蒸气的质量,即水蒸气密度,单位为Kg/m³ 。 利用水汽状态方程。可直接获得绝对湿度a的计算公式: 饱和蒸气压:在密闭条件中,在一定温度下,与固体或液体处于相平衡的蒸气所具有的压强称为饱和蒸气压。公式中温度T和露点温度Td单位为℃、相对湿度RH为百分比,In是自然对数,常数a、b分别为:a=1727;b=2377℃。 觉得算对数相当麻烦的话,下面有一个简易近似法。 简易近似法 当知道干球温度、而相对湿度大于50%时,露点可以用下列的公式求得,其误差值仅为±1湿度の公式 例として、 1m 3 に 94g の水蒸気をふくむ空気 の湿度を求めてみましょう。 順番にラジオボタンをクリックしてみてください。 気温が30℃のとき 30℃のときの飽和水蒸気量は30.4g/m 3 ふくんでいる水蒸気量は9.4g/m 3 約30.9% となります



北方风寒和南方湿冷哪种冷更胜一筹 中国天气网 微信公众号文章阅读 Wemp



我们身边的stem 04 干湿球温度计及露点温度中马格努斯公式的应用 Steemit



空气相对湿度是怎么算出来的 空气相对湿度计算公式 桃丽网



知识图解 相对湿度怎么算出来的 Egouz上网导航



Dallas Ds1923温度 湿度记录器说明书 6 百度经验



除湿量的计算方法带公式 杭州川泰制冷技术有限公司官网



湿度换算软件下载 湿度换算器 相对湿度和绝对湿度换算 下载v3 0 绿色版 It猫扑网



Extech Instruments cp Mini Thermo Anemometer 用户手册 Manualzz



湿度参数换算 用于计算湿度参数的公式和方法 Vaisala



最全的暖通空调计算公式 需要excel表的 可以看文末领取 网易订阅



具仪表级准确度的系统监视器用于测量相对湿度 易迪拓培训



关于空气的绝对湿度 下面的公式是否正确 关于绝对湿度的计算公式 个人觉得不等于一定温度和水蒸气分压下水蒸气的密度的 应该通过体积百分数来求得 海川化工论坛



任务八温湿度传感器模块 Ppt Download



干冷湿冷的讨论可以终结了 科学研究干冷更冷 虎扑



相对湿度的计算公式知识图解 相对湿度怎么算出来的 我有车



Word插入公式行距变大怎么办 百度经验



一种高集成温湿度测量系统的研制行业新闻中国标准物质网



Adc0808温度换算公式 温湿度传感器的三种模拟量换算关系 Weixin 的博客 Csdn博客



相对湿度下载 Word模板 爱问共享资料



相对湿度计算 湿度 露点 换算软件 绝对湿度和相对湿度换算工具 V3 0 绿色版下载 完美软件下载



干湿球温度计算公式知道干球温度湿球温度 有什么公式可以不查图计算出含湿量的 全球一商网



暖通干货 巧析焓湿图 焓湿图如何应用 一读就懂不容错过 教育资讯 娱乐新闻网



相对湿度的计算公式知识图解 相对湿度怎么算出来的 飞机之家



绝对湿度计算公式 扒拉扒拉



中国各地平均降水量与相对湿度的拟合公式和经验公式 Zhxftcl 新浪博客



飽和水蒸気量とは 温度によって決まる 湿度の計算での求め方



青岛温湿度传感器哪家好 青岛科创信达科技有限公司



外设驱动库开发笔记9 Sht1x系列温湿度传感器驱动 码农家园



湿空气性质计算 随笔与学习记录 3 露点温度 绝对湿度



最全的焓湿图速成教材 千万别错过哦 1 哔哩哔哩



Word行间公式行间距 木子杰



暖通设计 看懂焓湿图并学会在设计中运用 网易订阅



2 計算 Excel エクセル 術 2乗の表示方法 計算方法をマ Rjhi



体感温度是怎么算出来的 体感温度计算公式 柏然网



第五机床厂欢迎您



温湿度传感器模块htu21d产品简介与应用 Ofweek传感器网



赤点脱出シリーズ 理科の湿度の公式が全然覚えられない人へ とある男が授業してみた を見てもわからない人向け 生駒市 奈良市の個人契約 家庭教師しゅ 先生



室内空气检测 温湿度和大气压强数据该如何使 海南卫蓝室内空气cma检测机构 Www Wljc08 Com



变频柜防凝露方法分析 专业论文 自动化应用案例



中学理科 1分でわかる 湿度の求め方 計算方法 Qikeru 学びを楽しくわかりやすく



1 室内声的组成 第二节闭室的混响声与混响时间一 房间对声音的影响 1 声波在室外传播 从室外某一声源发生的声波 它的球面波连续向外传播 随着声波与声源距离的增加 而声能则迅速衰减 在无反射面的空中 其声能衰减遵循以下公式 Lp Lw lgr



2



猪舍降温负压风机安装高度怎么计算 湿帘风机 水帘降温风机 降温水帘纸 牛舍风机 降温负压风机 电暖风机 燃油热风机 青州信源温控设备厂



相对湿度 飞机之家



柴油机nox排放计算那点事 码农家园



使用混合模型的示例



我太难了 为啥你感觉的高温 总比天气预报的热 楠木轩



关于基于i2c使用aht21b模块及stm32核心板进行温湿度采集 Justa Long的博客 程序员资料 程序员资料



冷却塔湿空气热力学参数 总 冷却塔湿空气热力学参数 总



Ppt 湿度测量标准的现状及发展趋势powerpoint Presentation Id



我们身边的stem 04 干湿球温度计及露点温度中马格努斯公式的应用 Steemit



任务八温湿度传感器模块 Ppt Download



南方的魔法攻击和北方的物理攻击 哪种冷更胜一筹



柴油机nox排放计算那点事 码农家园



什么公式可以干湿球温度求相对湿度 知乎



同样是地暖 为什么你会认为电地暖比水地暖干 武汉如春供暖工程有限公司



湿度计原理 湿度计怎么看 湿度计计算 电子工程世界



您现在的位置 首页 新闻资讯 行业资讯 新闻资讯 行业标准 行业资讯 企业资讯 快速看懂焓湿图 并学会应用 发布时间 19 7 16 14 14 12 空调的任务是对一定环境的空气的温度 湿度 气流速度及空气的洁净度进行调节 空气既是需要利用空调技术对



柴油机nox排放计算那点事 码农家园



濕度 濕度 表示大氣乾燥程度的物理量 在一定的溫度下在一定體積的空氣里含 百科知識中文網



中学理科 1分でわかる 湿度の求め方 計算方法 Qikeru 学びを楽しくわかりやすく



空气的湿度的公式和定义 六六高考



2



知道相对湿度和温度 如何快速算出求露点 有公式嘛 是不是实际物体表面温度低于露点 才会有冷凝 知乎



基于i2c硬件协议的aht温湿度数据采集 Milk Way的博客 程序员宝宝 程序员宝宝



飽和水蒸気量の計算と湿度の公式 小学理科 Irohabook



中学理科 1分でわかる 湿度の求め方 計算方法 Qikeru 学びを楽しくわかりやすく



干燥剂厂家带您了解干燥剂din德国标准 行业知识 深圳市春旺环保科技股份有限公司



基于stc单片机和aht10温湿度传感器的温湿度计的设计 芯知识学堂 Singleyork 的博客 程序员宅基地 程序员宅基地



中国绝热节能网



相对湿度的计算公式知识图解 相对湿度怎么算出来的 我有车



非线性露点温度曲线在和利时lm系列plc中的实现



相对湿度的计算公式知识图解 相对湿度怎么算出来的 飞机之家



打印预览



使用说明 实验动物信息管理系统



暖通设计空调负荷怎么计算 需要哪些计算 走进最全面计算公式 哔哩哔哩



储粮通风控制与仿真 高温 温湿度 粮堆 网易订阅



温度和显度的计算公式 指数基金的温度计算公式 景合财经



横河电机温度与湿度监视解决方案 电机 技术文章 Rb会员入口



您现在的位置 首页 新闻资讯 行业资讯 新闻资讯 行业标准 行业资讯 企业资讯 快速看懂焓湿图 并学会应用 发布时间 19 7 16 14 14 12 空调的任务是对一定环境的空气的温度 湿度 气流速度及空气的洁净度进行调节 空气既是需要利用空调技术对



黄河三角洲参考作物腾发量计算方法适宜性研究



干湿球温度计算公式知道干球温度湿球温度 有什么公式可以不查图计算出含湿量的 全球一商网



相对湿度与绝对湿度换算 Anlog的专栏 Csdn博客 相对湿度和绝对湿度换算



干湿球法测量湿度计算公式下载 Word模板 爱问共享资料



绝对湿度 搜狗百科



Ppt 第四章湿度测量powerpoint Presentation Free Download Id



不同温度湿度空气含水量 空气湿度80 温度10c 每立方米含水率多少 三人行教育网 Www 3rxing Org



第四章湿度测量在通风与空调工程中 空气的湿度与温度是两个相关的热工参数 它们具有同样的重要意义 湿度控制有何应用呢 Ppt Download



温度 水汽压 湿度计算公式 箬笠蓑衣 博客园



公式いらずの湿度の求め方 中2 小数の割り算復習 Youtube



非线性露点温度曲线在和利时lm系列plc中的实现 煤炭网



空气干燥器测试与设备的优化改进 制动知识 汽车制动网



转轮除湿机湿度单位 Rh是什么意思



模拟结果 对话框 房间温度和湿度 选项卡



臭氧老化箱校验方法的探讨



韦本辉 粉垄定律 进一步探明完善粉垄核心科学理论 科技新闻 中国科技网首页



名師課輔網 相對溼度



个人虎扑第一帖 科普一下体感温度和湿度的关系 绝对和大多数人的印象相反 虎扑



建大仁科温湿度记录仪自动药店gsp冷链实验室高精度工业温湿度计 品租



1 应用专题 基于遥感的自然生态环境监测2 生态因子生成与生态评价 Youtube
コメント
コメントを投稿